微软发布OptiMind 20B模型 实现自然语言到求解器级优化模型的直接转换
微软研究院推出开源的OptiMind‑SFT 20 B 参数模型,能够把业务需求的自然语言描述自动转化为混合整数线性规划并生成可直接调用 Gurobi 的 Python 代码,旨在突破运筹优化中模型构建的瓶颈,提升企业决策效率。
微软研究院推出开源的OptiMind‑SFT 20 B 参数模型,能够把业务需求的自然语言描述自动转化为混合整数线性规划并生成可直接调用 Gurobi 的 Python 代码,旨在突破运筹优化中模型构建的瓶颈,提升企业决策效率。

Nous Research推出全新开源模型NousCoder-14B,基于Qwen3-14B并通过执行式强化学习微调,在LiveCodeBench v6基准上实现67.87%的Pass@1成绩,较原始模型提升7.08个百分点。该模型面向竞赛编程场景,代码、数据及训练管线全部以Apache 2.0授权发布。
Vercel推出开源项目agent‑skills,将近40条React/Next.js性能最佳实践、100余条网页设计规范以及可一键部署的脚本打包成AI编码代理的可复用技能,帮助开发者在AI代码审查和自动部署环节实现标准化、可追溯的质量提升。

开源数据库ClickHouse完成4亿美元融资,估值升至150亿美元,领投Dragoneer,行业巨头Meta、特斯拉等已是客户,扩张云服务并收购AI监控平台Langfuse,凸显其在AI大模型数据处理领域对标Snowflake与Databricks的竞争力。

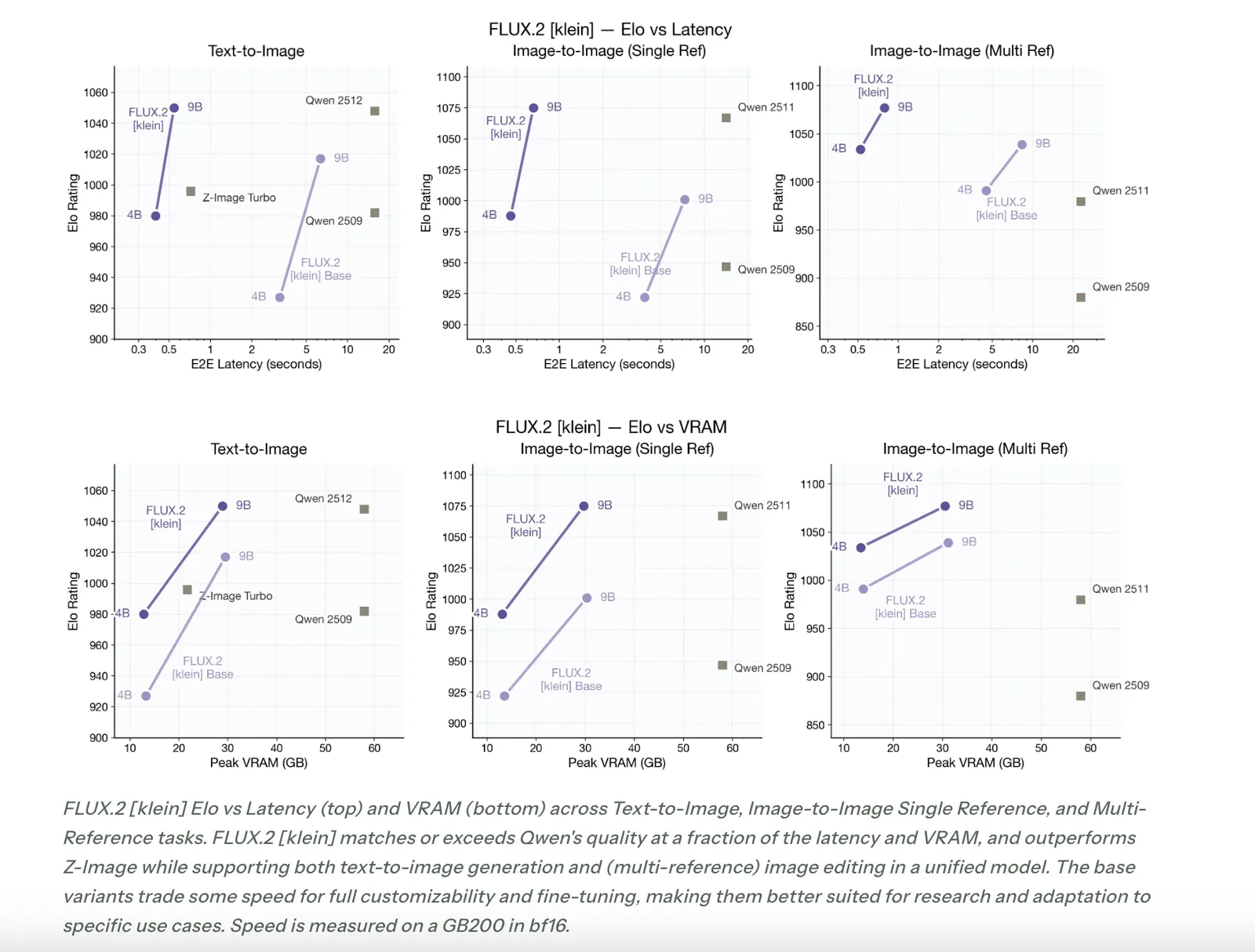
Black Forest Labs 在 2025 年 11 月发布了 FLUX.2 Klein 系列,提供 4 B 与 9 B 两种参数规模的开放权重模型,实现亚秒级文本生成、单图编辑和多参考合成,支持本地 GPU 与云 API 部署,量化后可在 RTX 30/40 系列显卡上以 1‑2 秒完成高质量图像输出,进一步降低视觉智能的硬件门槛。

Google AI推出TranslateGemma模型族,基于Gemma 3进行双阶段微调,提供4B、12B、27B三种规模,支持55种语言。该模型兼顾翻译质量与通用指令能力,面向移动、边缘设备以及单卡云端部署,致力降低机器翻译算力门槛。

NVIDIA在KVpress项目中发布了全新开源工具KVzap,利用轻量层级代理模型对Transformer的键值缓存进行重要性评估并剪枝,实现约2至4倍的压缩率,且对下游任务精度影响极小,解决长上下文推理的内存瓶颈问题。

Microsoft Research 于 2026 年 1 月在 Hugging Face 开源发布 OptiMind,专为把自然语言描述的优化问题自动转化为可求解的数学模型而设计,旨在降低建模门槛,加速供应链、调度等场景的实验与落地。

由 OpenAI 发起、社区共建的 Open Responses 标准在 Hugging Face 上正式发布,提供统一、可扩展的推理接口,旨在弥补传统 Chat Completion 在智能体场景下的局限,加速开源 AI 推理生态的布局与创新。

Google Research 在 Health AI Developer Foundations 计划中发布 MedGemma-1.5——一款 4B 参数的多模态医学生成模型,支持影像、文本和语音。模型开放给开发者用于本地化适配,旨在加速医学图像分析、报告抽取和临床对话等应用落地。

在LLM驱动的生产环境中,AI可观测性帮助企业追踪调用、延迟和模型漂移,降低成本并提升合规性,本文通过简历筛选案例详细阐述其分层结构及主流开源工具。

Google AI推出全新开源标准Universal Commerce Protocol(UCP),为AI购物代理提供统一的商务语言,实现从商品发现到支付结算的完整对话流程。该协议通过一次集成即可跨零售、旅行等多行业复用,解决了当前AI购物需要多方定制的痛点。